Today's movement in the Eur/Usd was small and not much room for trading. The opportunity for larger moves in the Eur/Usd may come tomorrow if we see a break of key levels.
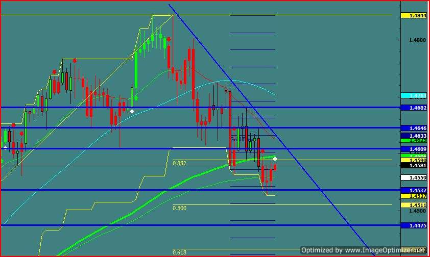
The current support held up at 1.4527 which we bounced off of and that was close to a .500 Fibonacci Retracement level. There is a descending triangle forming and if we break out of that we could drop to the next support level at 1.4475 or the .682 Fibonacci retracement level at 1.4432. The current resistance levels to watch are 1.4600 and 1.4650 which are drawn on the 4hr chart for you to examine. There is also a fibonacci retracement level drawn on the chart to watch possible support levels and trade entry points.
Eur/Usd Trade Setup
Watch for a break of the descending triangle if the price breaks to the upside look for a target of 1.4650. If the pair drops to the downside look for a target of 1.4475 or below.
